Collection: Zupko, Ramon
Ramon Zupko (1932-2019) was born in Pittsburgh, PA. He was Professor Emeritus of Music of the School of Music, Western Michigan University, where he taught composition, theory, and founded and directed the Studio for Electronic and Computer music from 1971 to 1997. He taught theory and established the first Electronic Music Studio in Chicago at the Chicago Musical College from 1967-1971. He began to compose before his teens, and received his Bachelor and Master of Science in Composition degrees from the Juilliard School of Music. His principal composition teacher was Vincent Persichetti. He completed additional study with Aaron Copland, Otto Luening, and in Europe (where he lived for 5 years) with Michael Gottfried Koenig in Hilversum, and Karl Shiske in Vienna.
His music is with American Composers Alliance (BMI). Zupko’s catalog includes nearly 100 works, many of which employ electronic and digital media, as well as works for the theater. His composition awards, commissions, and honors include: * Fulbright Fellowship for study in Vienna, a Guggenheim Fellowship, American Academy and Institute of Arts and Letters award, Koussevitzky Foundation Commission for orchestral work, Kennedy-Friedheim Competition award for Piano Concerto, American Composers Alliance Recording Award, Berkshire Music Center Commission for orchestral work, National Endowment for the Arts - 3 composer grants, Gilmore International Piano Festival commission for piano work, Phi Mu Alpha Sinfonia commission for an opera, Fromm Foundation commission for orchestral work, ISCM Competition - works selected twice to represent the U.S. at International Festivals, Premio Citta di Trieste - Violin Concerto awarded 1st prize, and Meet the Composer - grant to present premier of chamber work “Solo Passages.” He was Distinguished Faculty Scholar at Western Michigan University 1983-84, a grantee of MENC-Ford Foundation - Composers in Public Schools Project.
Zupko's compositions have been performed at New York's "Composer 's Forum,” Carnegie Recital Hall, Alice Tully Hall at Lincoln Center, Borden Hall, BAM, the Kennedy Center in Washington, D.C., and at various festivals and college campuses throughout the U. S. and Europe.
His orchestral works have been performed by the Detroit, St. Louis, Indianapolis, Kalamazoo, Curtis Institute, Tanglewood Festival, National Orchestral Association, Grand Rapids, Brooklyn Philharmonic, and American Composers orchestras.
He passed away October 22, 2019 in Chicago.
-
-
-
-
-
Ramon Zupko
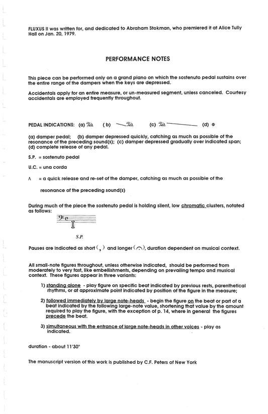
INTERMEZZO AND ALLEGRO
band: 1-2-2 (+e.hn.) - Eb cl.-3-1- b.cl.- 2bsn.-sax: 2-2-1 -cor:1-2-3 - tpt:1 -2 hn:1-2-3-4- bar:1-2- trb: 1-2-3- tubas- perc.(3 perf.)
Archival
-
Ramon Zupko
INTRODUCTION AND BAGATELLE for 10 instruments
bassoon, clarinet, flute, horn, oboe, strings
Archival
-
-
-
-
Ramon Zupko
NIGHTINGALE, THE
Alto, Bar, Bs-Bar, cello, clarinet, flute, percussion, piano, piccolo, soprano, tenor, trombone, trumpet, violin
Archival










