
Schwartz, Elliott
1936 - 2016
Elliott Schwartz was born 1936 in New York City and studied composition with Otto Luening and Jack Beeson at Columbia University. He retired from the faculty at Bowdoin College, where he served for 43 years, twelve of them as department chair. His many extended residencies and/or visiting professorships include Ohio State University, the University of California (San Diego and Santa Barbara), Harvard, Oxford, and Cambridge. Schwartz’s compositions have been performed by such groups as the Minnesota Orchestra, Cincinnati Symphony, Indianapolis Symphony, St. Paul Chamber Orchestra, Chicago Chamber Orchestra, and the Youth Orchestra of the Netherlands and featured at numerous international music centers and festivals including Tanglewood, the Library of Congress, Monday Evening Concerts (Los Angeles), DeIjsbreker (Amsterdam), Music of the Americas (London), and the European Youth Orchestra Festival (Copenhagen).
Leading orchestras and chamber ensembles have recorded his music for New World, CRI, Albany, Innova, Capstone and other labels. Honors and awards for his compositions include the Gaudeamus Foundation (Netherlands), the Rockefeller Foundation (two Bellagio residencies), and the National Endowment for the Arts. Over the course of his career he has served as president of The College Music Society, president of the Society of Composers, Inc, vice-president of the American Music Center, and board member of the American Composers Alliance.
Schwartz wrote or edited a number of books on musical subjects. These include Music: Ways of Listening, Electronic Music: A Listener’s Guide, Music since 1945 (co-author with Daniel Godfrey) and the anthology Contemporary Composers on Contemporary Music (co-editor with Barney Childs). Schwartz’s 70th and 80th birthdays were celebrated with concerts and guest lectures at Oxford, the Royal Academy of Music (London), Butler University, Concordia College, the University of Minnesota, the ACA Festival (NYC) and the Library of Congress. His music is published by ACA, Associated Music Publishers, and Lauren Keiser Music, and is preserved at archives including the Library of Congress and Special Collections in Performing Arts at the University of Maryland. He passed away December 7, 2016 in Brunswick.
Music at ACA
-
-
-
-
-
Elliott Schwartz
SQUARING THE CYCLES
Organ, Trumpet, Chamber Ensemble of 8 players plus 2 percussion
$28.50 -
Elliott Schwartz
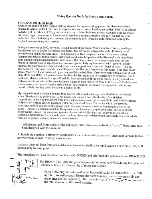
STRING QUARTET No. 2: For Louise and Aaron
String Quartet 2 Violins, Viola, Cello
$24.00 - $53.00 -
-
Elliott Schwartz
SUMMER'S JOURNEY
solo flute (1st movement) solo horn (2nd movement), ensemble 2 fl/dbl pic, ob, 2 cl/1dbls bscl, bsn, 2 altosx, tensx, barisax, 2tpt, 2hn, 2tbn, tba, 3perc, piano, db
$49.50 -
-
-
-
-
-
-
-
-
-
-
-






















